:quality(75)/bieu_thuc_la_gi_cover_32d42dd503.png)
Biểu thức là gì? Từ khái niệm cơ bản đến ứng dụng trong các lĩnh vực khoa học và đời sống
Biểu thức là gì và vì sao khái niệm này lại quan trọng trong toán học và công nghệ? Từ những phép tính cơ bản đến lập trình phức tạp, biểu thức giúp con người diễn đạt và xử lý dữ liệu chính xác hơn. Cùng tìm hiểu cách biểu thức vận hành và ứng dụng trong đời sống hiện đại.
Khi nhắc đến những khái niệm nền tảng của toán học, nhiều người sẽ nghĩ ngay đến “số”, “phép tính” hay “hàm số”. Thế nhưng có một yếu tố kết nối tất cả chúng lại với nhau, đó chính là biểu thức. Vậy biểu thức là gì, tại sao học sinh, sinh viên hay lập trình viên đều phải hiểu rõ về nó? Hãy cùng tìm hiểu chi tiết hơn qua bài viết dưới đây.
Biểu thức là gì?
Trong toán học, biểu thức (tiếng Anh: Expression) là một chuỗi ký hiệu và phép toán thể hiện mối quan hệ giữa các giá trị hoặc đại lượng. Nói cách khác, biểu thức là một cách viết gọn gàng để diễn tả các phép cộng, trừ, nhân, chia, luỹ thừa… giữa các con số hoặc biến số.
Ví dụ:
- Biểu thức số học: 3 + 5 × 2
- Biểu thức đại số: 2x + 3y - 5
- Biểu thức logic: A AND B, x > y
Khi ta thay giá trị cho các biến, biểu thức có thể được tính ra một giá trị cụ thể. Chính vì vậy, biểu thức không chỉ là một chuỗi ký hiệu khô khan, mà còn là “ngôn ngữ” của toán học, giúp diễn đạt những ý tưởng và phép tính phức tạp một cách ngắn gọn, chính xác.
Các loại biểu thức thường gặp
Khi đã hiểu rõ biểu thức là gì, ta sẽ thấy khái niệm này không chỉ giới hạn trong toán học mà còn mở rộng sang nhiều lĩnh vực khác nhau. Biểu thức có thể mang dạng số học, đại số hoặc logic, mỗi loại lại có vai trò riêng trong việc biểu diễn mối quan hệ giữa các đại lượng. Dưới đây là những loại biểu thức phổ biến nhất mà học sinh và người học thường gặp.
Biểu thức số học
Đây là loại biểu thức quen thuộc nhất, bao gồm các con số và phép tính. Ví dụ: 5 + 7 × 2.
Trong biểu thức này, phép nhân được thực hiện trước phép cộng (theo quy tắc thứ tự phép toán). Kết quả cuối cùng là 19.

Biểu thức số học giúp chúng ta tính toán, lập kế hoạch, giải bài tập hay xử lý số liệu trong công việc. Hầu hết các phép tính trong đời sống – từ tính tiền hóa đơn, điểm trung bình đến chi phí sản xuất – đều là những biểu thức số học ở dạng đơn giản.
Biểu thức đại số
Biểu thức đại số có chứa biến số (thường là chữ cái như x, y, z) và hằng số.
Ví dụ: 3x + 2y - 7.
Khi gán giá trị cụ thể cho x và y, ta có thể tính ra giá trị của cả biểu thức.
Loại biểu thức này giúp mô tả quy luật, quan hệ giữa các đại lượng – nền tảng của đại số và hình học.

Trong học tập, học sinh thường làm quen với các dạng như:
- Biểu thức đa thức: 2x² + 5x + 1
- Biểu thức phân thức: (x + 2) / (x - 1)
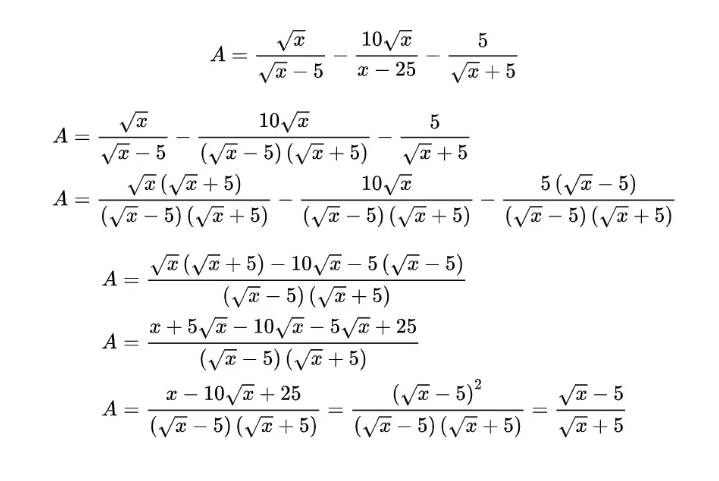
- Biểu thức căn thức: √(x² + y²)
Biểu thức logic
Khác với hai loại trên, biểu thức logic không cho kết quả là số, mà là giá trị đúng hoặc sai (True/False).
Ví dụ:
- 5 > 3 → đúng (True)
- (x + 2) = 10 → đúng nếu x = 8
- A AND B → đúng khi cả A và B đều đúng
Biểu thức logic được dùng nhiều trong tin học, lập trình và kiểm tra điều kiện, ví dụ trong các câu lệnh điều khiển (if...then...).

Ứng dụng của biểu thức
Để hiểu hết tầm quan trọng của khái niệm biểu thức là gì, ta cần nhìn vào cách nó hiện diện trong đời sống hằng ngày.
Trong tài chính
Một trong những ứng dụng quen thuộc nhất của biểu thức là tính toán chi tiêu và tài chính. Khi bạn tính số tiền lãi gửi tiết kiệm, ước lượng chi phí du lịch hay lập kế hoạch ngân sách tháng, bạn đang sử dụng những biểu thức toán học cơ bản.
Ví dụ:
- Tính lãi suất:
- Tiền lãi = Số tiền gửi × Lãi suất × Thời gian
- Tính chi phí mua hàng:
- Tổng tiền = (Giá sản phẩm × Số lượng) + Thuế
Chính những biểu thức đơn giản ấy giúp bạn quản lý tài chính cá nhân, dự đoán kết quả và đưa ra quyết định hợp lý. Ở quy mô lớn hơn, doanh nghiệp và ngân hàng còn sử dụng hàng nghìn biểu thức phức tạp để mô hình hóa thị trường, phân tích rủi ro và tối ưu lợi nhuận.

Trong khoa học tự nhiên
Nếu toán học được gọi là “ngôn ngữ của vũ trụ”, thì biểu thức chính là câu nói cụ thể trong ngôn ngữ ấy. Mọi định luật vật lý, phản ứng hóa học hay phương trình sinh học đều có thể được viết bằng biểu thức.
Một số ví dụ quen thuộc:
- Vật lý: E = mc² (năng lượng bằng khối lượng nhân bình phương vận tốc ánh sáng)
- Hóa học: CO₂ + H₂O → C₆H₁₂O₆ + O₂ (phản ứng quang hợp)
- Sinh học: Tốc độ tăng trưởng = (Số cá thể mới – Số cá thể chết) / Thời gian

Nhờ các biểu thức, con người có thể dự đoán, mô phỏng và kiểm chứng các giả thuyết khoa học. Chẳng hạn, dự báo thời tiết sử dụng hàng triệu biểu thức tính toán dựa trên dữ liệu khí áp, nhiệt độ, gió và độ ẩm. Máy tính sẽ xử lý các biểu thức này hàng giây để tạo ra mô hình dự đoán chính xác nhất có thể.
Trong lập trình
Biểu thức là trái tim của mọi ngôn ngữ lập trình. Mọi thao tác trên máy tính, từ phép cộng đơn giản đến trí tuệ nhân tạo, đều bắt đầu bằng một biểu thức logic hoặc số học.
Ví dụ, trong lập trình Python:
diem_tb = (toan + van + anh) / 3
if diem_tb >= 8:
print("Học sinh giỏi")
Hai dòng mã ngắn gọn ấy là sự kết hợp giữa biểu thức số học (tính trung bình) và biểu thức logic (so sánh điều kiện) để lọc ra danh sách các học sinh đạt loại giỏi trong tích tắc.
Ngoài ra, biểu thức còn là nền tảng cho:
- Trí tuệ nhân tạo (AI): Xử lý hàng tỷ biểu thức toán học để huấn luyện mô hình học máy.
- Lập trình web: Biểu thức được dùng để tính toán, hiển thị dữ liệu và điều khiển giao diện.
- Phân tích dữ liệu: Các phần mềm như Excel hay Power BI đều hoạt động dựa trên biểu thức hàm số và điều kiện logic.
Trong kỹ thuật
Khi kỹ sư thiết kế cầu, máy móc hay tòa nhà, họ không thể chỉ dựa vào cảm tính. Mỗi chi tiết, mỗi thông số đều được tính bằng biểu thức cơ học và vật lý chính xác.
Ví dụ:
- Tải trọng cầu: P = F / S (áp lực bằng lực chia cho diện tích)
- Công suất động cơ: N = F × v (công suất bằng lực nhân vận tốc)
Những biểu thức này được phần mềm kỹ thuật như AutoCAD, SolidWorks hay Ansys áp dụng để kiểm tra độ bền, khả năng chịu lực, và đảm bảo an toàn công trình.

Trong ngành sản xuất, biểu thức còn giúp tính năng suất, tiêu hao nguyên liệu và chi phí sản xuất, giúp doanh nghiệp tiết kiệm hàng triệu USD mỗi năm nhờ tối ưu quy trình.
Trong đời sống thường ngày
Bạn có thể không nhận ra, nhưng biểu thức xuất hiện trong những hành động quen thuộc nhất:
- Khi nấu ăn: Thời gian nấu = Khối lượng thức ăn × Hệ số nhiệt
- Khi tập thể dục: Nhịp tim mục tiêu = 0.7 × (220 - Tuổi)
- Khi di chuyển: Thời gian = Quãng đường / Tốc độ
Những phép tính tưởng chừng đơn giản ấy giúp con người sống khoa học hơn, đưa ra quyết định hợp lý và kiểm soát thời gian, sức khỏe cũng như công việc hiệu quả hơn.
Trong giáo dục và phát triển tư duy
Biểu thức là công cụ rèn luyện khả năng tư duy phản biện và logic. Khi học sinh học cách rút gọn, biến đổi hay tính giá trị biểu thức, họ đang rèn luyện trí não theo hướng khoa học: biết phân tích, sắp xếp và lập luận.
Ở cấp độ cao hơn, biểu thức là nền tảng của khoa học dữ liệu, trí tuệ nhân tạo và tự động hóa – những ngành nghề được xem là xương sống của tương lai.
Nhiều trường đại học trên thế giới coi “kỹ năng hiểu và viết biểu thức” là bước đầu để học tốt các môn STEM (Khoa học – Công nghệ – Kỹ thuật – Toán học).
Tạm kết
Từ những phép tính đơn giản đến các mô hình phức tạp, biểu thức luôn hiện diện như ngôn ngữ chung của tư duy logic. Hiểu rõ biểu thức là gì giúp chúng ta nắm vững nền tảng của toán học, lập trình và cả khoa học ứng dụng.
Hiểu rõ biểu thức là nền tảng để rèn luyện tư duy logic – kỹ năng quan trọng hàng đầu khi học lập trình. Laptop Asus với cấu hình tối ưu cho học tập và lập trình sẽ là người đồng hành lý tưởng dành cho bạn. Ghé ngay FPT Shop để chọn mua laptop Asus chính hãng với nhiều ưu đãi hấp dẫn nhé.
Xem thêm:
Cách tính giá trị biểu thức – Hướng dẫn quy trình giải bài tập chi tiết và chuẩn xác
Hằng số là gì? Tìm hiểu tính chất và ứng dụng của hằng số trong các lĩnh vực
:quality(75)/estore-v2/img/fptshop-logo.png)