:quality(75)/cong_thuc_dao_ham_1_6dbf1a0fdd.jpg)
Cẩm nang công thức đạo hàm đầy đủ nhất giúp học sinh ghi nhớ dễ dàng khi giải toán
Công thức đạo hàm là một trong những công thức toán học quan trọng. Nếu các bạn học sinh Trung học phổ thông nắm vững công thức đạo hàm sẽ chinh phục hiệu quả nhiều dạng bài tập. Bài viết này của FPT Shop sẽ chia sẻ cẩm nang công thức đạo hàm đầy đủ nhất, lưu lại ngay nhé.
Trong chương trình môn Toán của học sinh bậc Trung học phổ thông, đạo hàm là một trong những phần kiến thức cực kỳ quan trọng, liên quan để cả quá trình học và các kỳ thi lớn. Chính vì thế, việc tổng hợp đầy đủ bảng công thức đạo hàm sẽ giúp học sinh dễ dàng ghi nhớ, ôn luyện và giải bài tập nhanh chóng, hiệu quả nhất.
Định nghĩa đạo hàm là gì? Quy tắc đạo hàm
Đạo hàm là gì?
Trên khía cạnh Toán học, đạo hàm là một hàm mô tả sự biến thiên tại một điểm hay nói cách khác là tỷ số giữa số gia của hàm số tại một điểm gọi là x0. Độ lớn của biến thể và hướng của biến thể sẽ thể hiện cho giá trị của đạo hàm.
Ở một định nghĩa khác, đạo hàm được hiểu là sự biến thiên lên, xuống của một hàm số tại điểm thay đổi. Theo đó, ký hiệu đạo hàm sẽ là:
Đạo hàm của hàm y=f(x) được ký hiệu là f′(x0) hoặc y′(x0). Cụ thể:

Trong đó:
- Số gia của đối số là Δx=x−x0
- Số gia của hàm số là Δy=y−y0
Quy tắc đạo hàm dựa trên định nghĩa
Để có thể giải toán một cách nhanh chóng và chính xác, bạn cần nắm rõ quy tắc đạo hàm dựa trên định nghĩa như sau:
Bước 1: Giả sử Δx là gia số của x tại x0, lúc này ta có Δy = f(x0 + Δx) – f(x0).
Bước 2: Thực hiện lập tỉ số giữa Δy và Δx.
Bước 3: Tính giới hạn của ΔyΔx khi khi Δx tiến tới 0.
Chú ý, nếu thay x0 với x thì ta có quy tắc tính hàm số là y = f(x) với x ∈ (a;b).
Cẩm nang công thức đạo hàm đầy đủ nhất
Sau khi hiểu rõ đạo hàm là gì, dưới đây là tổng hợp các công thức đạo hàm đầy đủ nhất mà bạn cần ghi nhớ chính xác:
Công thức đạo hàm sơ cấp

Công thức đạo hàm cấp cao

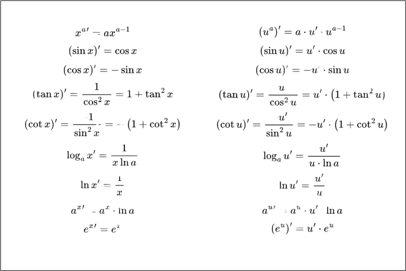
Công thức đạo hàm lượng giác

Công thức đạo hàm của hàm số, biến số và phân thức hữu tỉ
Công thức đạo hàm của biến số và hàm số

Công thức đạo hàm của hàm số phân thức hữu tỉ

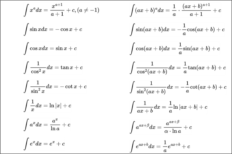
Công thức đạo hàm và bảng nguyên hàm
Công thức đạo hàm

Công thức nguyên hàm

Công thức đạo hàm Logarit

Mẹo ghi nhớ và giải bài tập sử dụng công thức đạo hàm hiệu quả
Mẹo ghi nhớ bảng công thức đạo hàm
Công thức đạo hàm khá nhiều và phức tạp. Vì thế, để ghi nhớ các kiến thức liên quan đến đạo hàm, học sinh cần lưu ý một số điều sau:
- Tập trung học tập: Công thức đạo hàm mang tính đặc thù trong Toán học nên không hề dễ ghi nhớ. Vì thế, học sinh cần có thái độ học tập nghiêm túc, tập trung và kiên nhẫn để hiểu, nắm rõ kiến thức thì mới có thể áp dụng vào giải bài tập được.
- Thường xuyên luyện tập: Bên cạnh việc ghi nhớ lý thuyết, học sinh cần thường xuyên áp dụng, thực hành. Bạn cần chăm chỉ làm bài tập với các dạng đề liên quan đến đạo hàm để mở rộng kiến thức cho mình.
- Trao đổi cùng bạn bè, thầy cô: Trong quá trình học tập, nếu bạn gặp bất cứ vướng mắc gì trong việc áp dụng công thức đạo hàm vào giải toán hãy chủ động chia sẻ với bạn bè, thầy cô. Họ sẽ là người giải đáp, hướng dẫn chi tiết để giúp bạn hiểu bài, học tập tốt hơn đấy!

Cách giải bài tập sử dụng công thức đạo hàm đơn giản
Dưới đây là một số bí quyết giúp bạn chinh phục mọi dạng bài tập đạo hàm một cách chính xác nhất:
- Luôn chú ý về điều kiện của hàm số: Các bài toán về đạo hàm sẽ luôn có điều kiện cho trước để bạn đi tìm nghiệm. Đừng bỏ qua bước này mà hãy nhớ xác định điều kiện của hàm trước khi giải bất cứ dạng bài nào để cho ra kết quả chính xác.
- Làm quen với các dạng bài tập từ cơ bản đến nâng cao: Khi bạn đã nắm chắc công thức, hãy kiên trì luyện giải đề. Hãy bắt đầu từ những bài tập dễ để lấy động lực rồi mới thử thách bản thân qua những dạng đề khó hơn. Việc vừa học vừa thực hành giúp bạn tìm ra phương pháp giải nhanh, cải thiện kỹ năng và trình độ.
- Lưu lại lỗi sai và rút kinh nghiệm: Trong quá trình giải toán sẽ có lúc bạn giải sai hoặc không tìm ra đáp án. Đây là lúc bạn cần "note" lại, tham khảo góp ý từ mọi người để tìm ra công thức tính nhanh, mẹo nhận biết dạng bài tập,... và áp dụng một cách tốt nhất.
Tạm kết
Vừa rồi, FPT Shop đã chia sẻ chi tiết cho bạn cẩm nang công thức đạo hàm. Đạo hàm là một công thức toán học tương đối phức tạp với nhiều học sinh. Hy vọng những kiến thức đã đưa ra sẽ giúp bạn chinh phục môn Toán dễ dàng và nhanh chóng.
Để tính đạo hàm, bạn có thể sử dụng máy tính để giải toán chính xác, tiết kiệm thời gian. Ngoài tính toán bằng máy tính casio, bạn cũng có thể dùng máy tính online trên điện thoại, laptop,... Ghé ngay FPT Shop để sở hữu chiếc laptop tốt chất lượng làm công cụ học tập nhé.
Xem thêm:
:quality(75)/estore-v2/img/fptshop-logo.png)