:quality(75)/dao_ham_01_05333f52f1.jpg)
Bật mí cho bạn các cách tính đạo hàm nhanh chóng và chính xác trong toán học
Cách tính đạo hàm không hề phức tạp nếu bạn nắm vững các quy tắc và công thức cơ bản. Chỉ cần hiểu rõ các quy tắc như đạo hàm, bạn có thể dễ dàng tính toán mà không gặp khó khăn. Bên cạnh đó, việc thực hành thường xuyên và sử dụng các công cụ hỗ trợ cũng giúp việc xử lý bài toán trở nên nhanh chóng hơn.
Trong toán học, đạo hàm là một khái niệm quan trọng giúp giải quyết nhiều bài toán liên quan đến tốc độ thay đổi và sự biến thiên của hàm số. Việc nắm vững các cách tính đạo hàm sẽ giúp bạn hiểu sâu hơn về các vấn đề toán học và cải thiện khả năng giải quyết bài tập nhanh chóng và chính xác. Vì vậy, bài viết này sẽ bật mí cho bạn những cách tính đạo hàm hiệu quả, giúp bạn tiếp cận toán học một cách dễ dàng và tự tin hơn.
Đạo hàm là gì?
Đạo hàm là một khái niệm cơ bản trong giải tích toán học. Nó mô tả tốc độ thay đổi của một hàm số theo biến số của nó. Hiểu một cách đơn giản, đạo hàm của một hàm số tại một điểm cho biết sự thay đổi nhỏ nhất của giá trị hàm số khi biến số thay đổi xung quanh điểm đó. Ví dụ, trong vật lý, đạo hàm thường được sử dụng để mô tả tốc độ (đạo hàm của quãng đường theo thời gian) hoặc gia tốc (đạo hàm của tốc độ theo thời gian).

Về mặt hình học, đạo hàm còn được hiểu là độ dốc của tiếp tuyến với đồ thị của hàm số tại một điểm. Điều này có nghĩa là nếu bạn vẽ đồ thị của hàm số, đạo hàm tại một điểm sẽ cho bạn biết độ nghiêng của đường tiếp tuyến tại điểm đó.
Đạo hàm được ký hiệu là f′(x) hoặc dy/dx, trong đó y là hàm số phụ thuộc vào x. Việc biết cách tính đạo hàm có vai trò quan trọng trong việc giải quyết các bài toán liên quan đến sự thay đổi. Vì vậy, nó là nền tảng của nhiều lĩnh vực như kinh tế, kỹ thuật, và khoa học tự nhiên.
Các quy tắc cơ bản trong cách tính đạo hàm
Việc tính đạo hàm có thể tuân theo một số quy tắc nhất định giúp bạn tính nhanh và chính xác. Dưới đây là các quy tắc phổ biến:
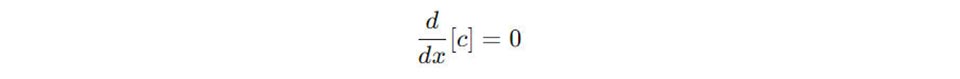
1. Đạo hàm của hằng số
Nếu c là một hằng số, thì đạo hàm của c bằng 0:

2. Đạo hàm của hàm số bậc nhất
Đạo hàm của xn (với n là một số nguyên):

Ví dụ: Đạo hàm của x3 là 3x2.
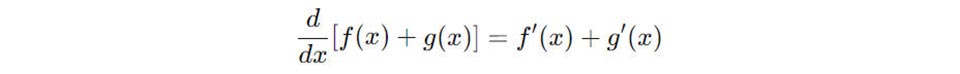
3. Quy tắc cộng
Đạo hàm của tổng hai hàm số bằng tổng của các đạo hàm:

4. Quy tắc nhân
Nếu u(x) và v(x) là hai hàm số, đạo hàm của tích hai hàm được tính theo công thức:

Ví dụ: Đạo hàm của (x2 x sin(x)) sẽ là 2x x sin(x) + x2 x cos(x).
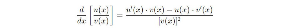
5. Quy tắc chia
Nếu u(x) và v(x) là hai hàm số, đạo hàm của thương số được tính theo công thức:

6. Đạo hàm của hàm hợp (Quy tắc dây chuyền - Chain Rule)
Đây là quy tắc tính đạo hàm của hàm hợp, tức là khi một hàm số được áp dụng bởi một hàm khác. Nếu y=f(g(x)), thì đạo hàm của y theo x được tính như sau:

Ví dụ: Đạo hàm của sin(x2) là 2x x cos(x2).
Các quy tắc ở trên giúp việc tính đạo hàm trở nên dễ dàng hơn và áp dụng vào nhiều bài toán thực tế. Với việc hiểu rõ và vận dụng linh hoạt các quy tắc này, bạn sẽ có thể tính toán chính xác đạo hàm của các hàm số phức tạp một cách nhanh chóng.
Phương pháp tính đạo hàm nhanh chóng
Tính đạo hàm là một trong những kỹ năng quan trọng trong toán học, và việc thành thạo các phương pháp tính nhanh sẽ giúp bạn tiết kiệm thời gian khi giải quyết bài toán. Dưới đây là một số phương pháp giúp bạn tính đạo hàm nhanh chóng và chính xác:
1. Sử dụng các công thức đạo hàm cơ bản
Một trong những cách nhanh nhất để tính đạo hàm là sử dụng bảng công thức đạo hàm chuẩn. Những công thức này giúp bạn tính toán mà không cần suy nghĩ quá nhiều về các bước trung gian. Các công thức phổ biến bao gồm:

Khi nắm vững những công thức này, bạn có thể áp dụng chúng một cách nhanh chóng mà không cần phải tính toán từng bước.
2. Quy tắc đạo hàm hàm hợp (Chain Rule)
Phương pháp đạo hàm hàm hợp rất quan trọng khi bạn làm việc với các hàm phức tạp. Quy tắc này giúp bạn tính đạo hàm của các hàm được kết hợp từ nhiều hàm con. Để tính đạo hàm của hàm hợp f(g(x)), bạn hãy áp dụng quy tắc sau:

3. Sử dụng phần mềm và công cụ hỗ trợ
Ngoài các công thức toán học, việc sử dụng các công cụ hỗ trợ tính toán như máy tính đồ họa, phần mềm như WolframAlpha hoặc các ứng dụng trên điện thoại có thể giúp bạn tính đạo hàm nhanh hơn, đặc biệt là khi đối mặt với những bài toán phức tạp. Chỉ cần nhập vào biểu thức, các phần mềm này sẽ trả về kết quả đạo hàm một cách nhanh chóng và chính xác.
4. Phương pháp phân tích và chia nhỏ bài toán
Khi gặp phải những bài toán phức tạp, bạn hãy thử chia nhỏ biểu thức thành những phần đơn giản hơn rồi tính đạo hàm của từng phần. Ví dụ: đối với một bài toán yêu cầu tính đạo hàm của một tích hoặc thương hai hàm, bạn có thể áp dụng quy tắc nhân hoặc chia trước, sau đó sử dụng các công thức cơ bản.
5. Thường xuyên luyện tập với các bài toán thực tế
Không có cách nào nhanh hơn để cải thiện kỹ năng tính đạo hàm hơn là luyện tập. Vì vậy, bạn hãy thường xuyên làm bài tập và cố gắng áp dụng các phương pháp tính nhanh để rèn luyện tư duy toán học. Điều đó sẽ giúp bạn thành thạo trong việc nhận diện các dạng hàm và áp dụng phương pháp tính đạo hàm phù hợp một cách tự nhiên.
Các lưu ý quan trọng khi tính đạo hàm
Khi tính đạo hàm, có một số lưu ý quan trọng mà bạn nên chú ý để tránh những sai sót thường gặp:
- Kiểm tra điều kiện khả thi của hàm: Không phải hàm số nào cũng có đạo hàm tại mọi điểm. Trước khi tính đạo hàm, hãy đảm bảo rằng hàm số khả vi tại điểm cần tính.
- Chú ý đến hàm hợp: Khi làm việc với hàm hợp, một trong những sai lầm phổ biến nhất là quên áp dụng quy tắc đạo hàm hàm hợp (Chain Rule). Bạn cần phải tính đạo hàm của cả hàm bên trong lẫn bên ngoài, nếu không sẽ cho ra kết quả sai.
- Cẩn thận với các phép tính liên quan đến dấu: Khi tính đạo hàm của các hàm chứa dấu âm hoặc các số hạng phức tạp, bạn sẽ rất dễ dẫn đến nhầm lẫn về dấu. Điều này có thể làm sai lệch kết quả cuối cùng. Vì vậy, bạn hãy luôn kiểm tra kỹ lưỡng các bước tính toán.
- Luôn kiểm tra lại kết quả: Sau khi tính toán, bạn hãy dành thời gian để kiểm tra lại kết quả. Bạn có thể sử dụng phần mềm hỗ trợ hoặc kiểm tra bằng cách tính tay lại với các bước đơn giản hơn để đảm bảo tính đúng đắn của bài toán.
Tạm kết
Với những cách tính đạo hàm trong bài, FPT Shop hy vọng bạn đã có thể nắm vững những quy tắc cơ bản và phương pháp tính toán nhanh chóng. Việc thành thạo các kỹ thuật này không chỉ giúp bạn giải quyết các bài toán một cách hiệu quả mà còn mở ra nhiều cơ hội trong việc ứng dụng toán học vào các lĩnh vực khác nhau.
Nếu bạn đang có nhu cầu mua sắm laptop mới để phục vụ cho công việc học tập của mình, hãy truy cập vào đường link bên dưới bài viết.
Xem thêm:
:quality(75)/estore-v2/img/fptshop-logo.png)