:quality(75)/tich_phan_c016eefd0d.png)
Tích phân là gì? Các tính chất quan trọng và công thức tích phân trong Toán học
Tích phân đóng vai trò quan trọng trong môn Toán học, đây là công cụ mạnh mẽ để giải quyết nhiều bài toán về diện tích, thể tích và các đại lượng tích lũy. Trong bài viết này, FPT Shop sẽ giúp bạn hiểu rõ về tích phân, các phương pháp tính và ứng dụng thực tế của nó.
Nhờ vào các công thức tính tích phân, chúng ta có thể giải quyết nhiều bài toán thực tế trong các lĩnh vực như vật lý, kỹ thuật và kinh tế. Những công thức này giúp người học tiếp cận kiến thức một cách có hệ thống, từ những dạng cơ bản đến nâng cao. Đặc biệt, phương pháp tích phân từng phần là một công cụ rất hiệu quả, giúp xử lý tốt những bài toán có cấu trúc phức tạp. Hãy cùng FPT Shop tham khảo ngay trong bài viết dưới đây nhé!
Tích phân là gì?
Tích phân là một khái niệm quan trọng trong Toán học, được xem như phép toán ngược lại của đạo hàm. Nếu đạo hàm cho biết mức độ thay đổi tức thời của một đại lượng tại một thời điểm nhất định, thì tích phân cho phép ta tính tổng hợp các thay đổi nhỏ đó trong một khoảng thời gian hoặc không gian nhất định.
Nói một cách dễ hiểu, tích phân giúp tính toán các đại lượng như:
- Diện tích dưới một đường cong
- Độ dài cung tròn
- Thể tích của các khối hình trong không gian
Tích phân không chỉ xuất hiện trong những bài toán lý thuyết phức tạp, mà còn có ứng dụng rộng rãi trong thực tế, ví dụ như:
- Tính quãng đường vật chuyển động khi biết vận tốc thay đổi theo thời gian
- Tính lượng vật chất chảy qua một điểm trong dòng chảy
- Ước tính chi phí, sản lượng hoặc các giá trị tích lũy trong kinh tế và kỹ thuật
Các tính chất quan trọng của tích phân trong Toán học
Tích phân không chỉ là một công cụ mạnh mẽ trong tính toán mà còn sở hữu nhiều tính chất giúp chúng ta áp dụng linh hoạt vào các dạng bài toán khác nhau. Dưới đây là những tính chất cơ bản và quan trọng nhất của tích phân:
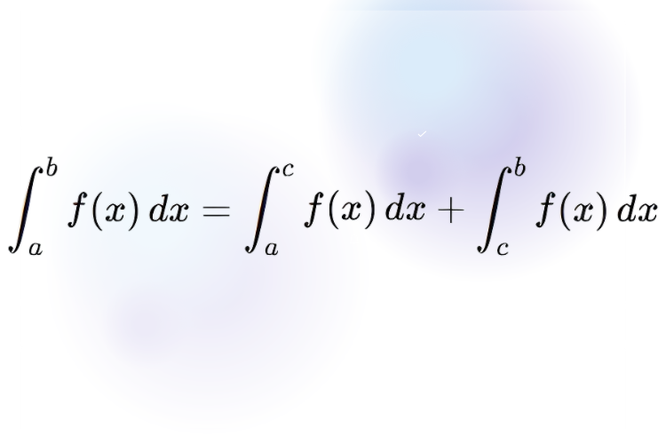
Tính chất cộng dồn
Nếu hàm số f(x) liên tục trên đoạn [a,b], ta có thể chia tích phân trên đoạn này thành tổng của hai tích phân trên các đoạn nhỏ hơn: ∫[a,b] f(x) dx = ∫[a,c] f(x) dx + ∫[c,b] f(x) dx

Điều này có nghĩa là chúng ta có thể chia nhỏ khoảng tích phân để tính toán dễ dàng hơn, đặc biệt khi hàm số phức tạp hoặc thay đổi theo từng đoạn.
Tính chất nhân hằng số
Khi tích phân một hàm số được nhân với một hằng số k, ta có thể đưa hằng số đó ra ngoài dấu tích phân: ∫[a,b] k·f(x) dx = k·∫[a,b] f(x) dx

Tính chất này giúp đơn giản hóa biểu thức và thuận tiện hơn khi giải các bài toán có hệ số.
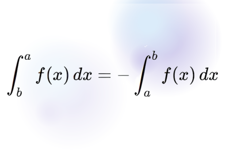
Tính chất đối xứng (đảo ngược giới hạn)
Nếu hàm số f(x) liên tục trên đoạn [a, b], thì khi đổi chỗ giới hạn trên và dưới của tích phân, kết quả sẽ đổi dấu: ∫[b,a] f(x) dx = -∫[a,b] f(x) dx

Tính chất này rất hữu ích khi cần thay đổi trật tự các giới hạn tích phân.
Phân biệt tích phân xác định và tích phân bất định
- Tích phân xác định: Là tích phân trên một đoạn [a,b], cho ra một giá trị số cụ thể, biểu thị tổng giá trị của hàm số trên đoạn đó.
- Tích phân bất định: Là họ các nguyên hàm của hàm số, có dạng F(x) + C, trong đó C là hằng số tùy ý.
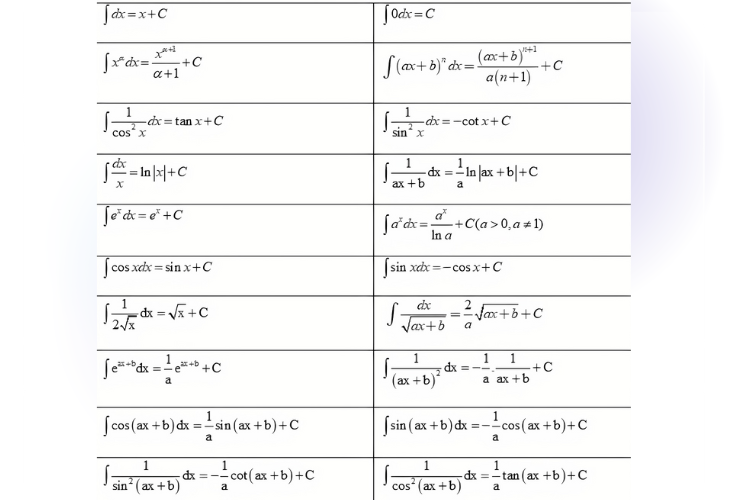
Tổng hợp các công thức tích phân cơ bản
Bạn có từng thắc mắc làm sao để tính diện tích của một hình có hình dạng phức tạp? Câu trả lời nằm ở tích phân – một công cụ toán học mạnh mẽ với rất nhiều ứng dụng trong thực tiễn.

Tích phân không chỉ được sử dụng trong Toán học, mà còn đóng vai trò quan trọng trong các lĩnh vực như vật lý, kỹ thuật và kinh tế học. Việc hiểu và vận dụng tốt các công thức tích phân cơ bản sẽ giúp bạn không chỉ đạt kết quả tốt trong học tập, mà còn có khả năng giải quyết hiệu quả các bài toán thực tế trong công việc và đời sống hàng ngày.
Các phương pháp tính tích phân
Việc tính tích phân không chỉ đơn thuần là áp dụng công thức, mà còn là quá trình lựa chọn phương pháp phù hợp với từng dạng bài toán cụ thể. Khi nắm vững các phương pháp dưới đây, bạn sẽ dễ dàng xử lý nhanh chóng và chính xác các bài toán tích phân, dù là đơn giản hay phức tạp.
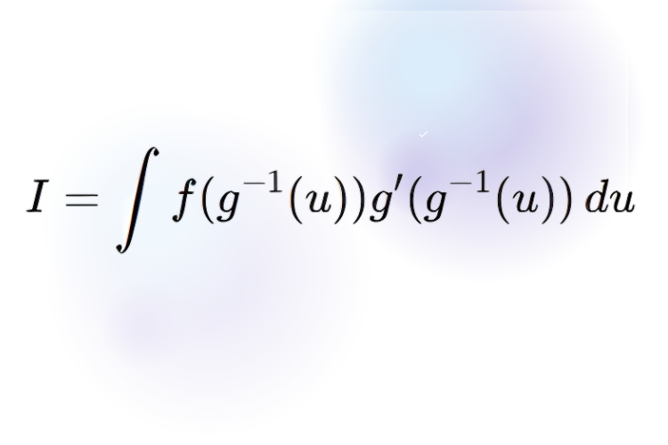
Phương pháp đổi biến số
Đây là một trong những phương pháp nền tảng và thường xuyên được sử dụng trong tính tích phân. Ý tưởng chính là chuyển hàm số ban đầu sang một dạng đơn giản hơn bằng cách thay đổi biến số.

Khi thay đổi biến, cần xác định mối liên hệ giữa biến mới và biến cũ, đồng thời chuyển đổi vi phân tương ứng. Giả sử I=∫f(x) dx, nếu chọn u=g(x), thì dx=g′(x)du, khi đó:

Phương pháp tích phân bằng cách phân tích
Đây là một kỹ thuật giúp đơn giản hóa biểu thức tích phân bằng cách tách hàm số phức tạp thành những phần dễ tính hơn. Thay vì giải quyết toàn bộ biểu thức cùng lúc, ta phân tích nó thành các phần nhỏ và xử lý từng phần một cách tuần tự.
Phương pháp này thường được áp dụng khi hàm số là tổng hoặc hiệu của nhiều hàm đơn giản hoặc có thể phân tích thành các phân thức riêng. Việc tách nhỏ như vậy giúp rút ngắn thời gian tính toán và tránh sai sót.
Ví dụ điển hình là khi hàm cần tích phân có dạng phân thức đại số, ta có thể dùng phân tích thành các phân thức đơn giản để dễ dàng tính từng phần riêng biệt.

Phương pháp tích phân bằng vi phân
Phương pháp vi phân đặc biệt hiệu quả trong những trường hợp tích phân có liên quan đến đạo hàm của một hàm số khác. Khi nhận thấy trong biểu thức tích phân có sự kết hợp giữa f(x) và f′(x), ta có thể áp dụng vi phân để biến đổi tích phân phức tạp thành dạng đơn giản hơn.

Phương pháp này xem f′(x) dx như là vi phân của một hàm, từ đó giúp thay đổi biến và đơn giản hóa biểu thức tích phân.
Phương pháp này rất hữu ích khi giải các bài toán liên quan đến hàm hợp, hàm mũ, hoặc hàm lượng giác, giúp rút ngắn thời gian xử lý và tăng độ chính xác.
Phương pháp tích phân từng phần
Phương pháp từng phần là một kỹ thuật tính tích phân dựa trên quy tắc đạo hàm của tích hai hàm số. Công thức chính của phương pháp này là: ∫u·v′ dx = u·v − ∫v·u′ dx

Trong đó:
- u là phần sẽ được lấy đạo hàm
- v′ là phần sẽ được lấy tích phân
Việc lựa chọn đúng u và v′ sẽ giúp biến đổi biểu thức ban đầu thành một dạng đơn giản hơn, dễ xử lý hơn.
Phương pháp này đặc biệt hữu ích khi gặp các bài toán tích phân có chứa hàm mũ, hàm logarit, hàm lượng giác hoặc đa thức, nơi mà việc nhân hai hàm khiến bài toán trở nên phức tạp nếu không áp dụng đúng kỹ thuật.
Ứng dụng của tích phân trong thực tế
Tích phân không chỉ là một khái niệm lý thuyết trong Toán học mà còn là công cụ thiết thực, được ứng dụng rộng rãi trong nhiều lĩnh vực như hình học, vật lý và kỹ thuật. Dưới đây là một số ứng dụng tiêu biểu:
Tính diện tích hình phẳng
Một trong những ứng dụng phổ biến nhất của tích phân là tính diện tích phần hình phẳng nằm giữa đồ thị hàm số và trục hoành, hoặc giữa hai đồ thị khác nhau.
Tổng diện tích được tính bằng cách lấy tích phân xác định trên đoạn giới hạn mà các đồ thị cắt nhau. Phương pháp này rất hiệu quả trong các bài toán hình học liên quan đến đồ thị.
Ví dụ công thức:
- S = ∫[a,b] |f(x) - g(x)| dx

Tính thể tích khối tròn xoay
Khi cần tính thể tích của một vật thể tạo thành bằng cách quay một đường cong quanh trục, ta có thể chia vật thể đó thành nhiều lát mỏng vuông góc với trục quay. Mỗi lát giống như một hình tròn nhỏ và tổng thể tích của tất cả các lát chính là thể tích của vật thể.
Tích phân giúp tính tổng diện tích các mặt cắt đó để ra thể tích tổng thể:
Công thức phổ biến:
- V = π ∫[a,b] (f(x))² dx

Tính công trong cơ học
Trong vật lý, khi lực thay đổi theo quãng đường (không cố định), ta không thể dùng công thức đơn giản A = F·s. Thay vào đó, ta cần dùng tích phân để tính công do lực biến thiên sinh ra:
- W = ∫[a,b] F(x) dx

Đây là cách giúp xác định chính xác công trong các trường hợp lực không đều, rất quan trọng trong cơ học và kỹ thuật.
Lời kết
Tích phân không chỉ dừng lại ở việc tính diện tích hay thể tích. Nó còn đóng vai trò then chốt trong việc giải quyết các bài toán thực tiễn, từ kỹ thuật cơ khí, điện tử đến tài chính và kinh tế. Đặc biệt, phương pháp tích phân từng phần là công cụ mạnh giúp xử lý những bài toán phức tạp liên quan đến hàm hợp, hàm logarit hay hàm mũ. Khi được áp dụng đúng cách, nó mang lại hướng tiếp cận sáng tạo và hiệu quả cho nhiều vấn đề tưởng chừng rất khó giải.
Trong kỷ nguyên công nghệ số, việc nghiên cứu và hiểu các môn như tích phân hay toán học cao cấp cần có những công cụ hỗ trợ mạnh mẽ. Một chiếc laptop Lenovo có cấu hình mạnh mẽ, hiệu suất ổn định sẽ giúp bạn truy cập tài liệu dễ dàng, chạy mượt các phần mềm tính toán và xử lý bài tập phức tạp một cách nhanh chóng. Hãy tham khảo ngay tại FPT Shop để tìm cho mình chiếc laptop phù hợp nhất!
Tham khảo ngay tại đây: Laptop Lenovo
Xem thêm:
:quality(75)/estore-v2/img/fptshop-logo.png)